Archives For November 30, 1999

Apparently I’m smart, well according to AI. And my Mom.

So one has to be careful when interacting with (in this case Gemini Pro as of Feb 2026). I started by asking for cross section calculations for cosmic strings with gravitational waves, then dragged it into my emergent electromagnetism idea.

I liked some of the terminology it picked, which presumably lines up with academic banter in some of these subjects.

I can’t say it came up with much I haven’t thought about before, but I was surprised it came up with the repulsion/attraction scheme that it did, (which I haven’t put into anything online), which relies on absolute phase. Is the Universe ringing at 10^65 Hz?

The discussion took about 2 hours, and went over about 20 pages of interaction. It offered to produce this Latex of my ideas. I like it. I don’t agree with everything, but in broad strokes, this is how I think Electromagnetism emerges from General Relativity.

The PDF is linked above.

The image depicts how a purely gravitational Kerr electron could generate Coulomb sized forces. See also A Kerr Connection to the Electric Constant.

I am working on a quantum gravity.

I combine:

  • A Problem: General Relativity does not conserve energy,
  • and an experimental finding: Quantum Mechanics is non local.

I find, by adding energy conservation to General Relativity, that superluminal monopolar wave propogation is possible. I identify this superluminal wave with the quantum de Broglie – Bohm like waves.

Emily Noether proved that General Relativity cannot conserve energy if Lorentz covariance is to be kept. Dropping covariance only for energy conservation, I find that regular matter is still covariant. Black holes kind of exist, and singularities appear to be gone or largely defeated. One possible outcome is that dark matter is identified with the superluminal quantum field, so perhaps Dark Matter is Quantum Mechanics. In quantum mechanics, the non-local effect is instantaneous. My paper suggests that the speed is actually sqrt(r/m) which works out to over 10,000 times the speed of light.

I have a paper online about this at gravityphysics.com

https://www.cambridge.org/engage/coe/article-details/68090fb3927d1c2e666733cb

Yes

The link to the video is here,

https://arxiv.org/abs/2105.14744

Google Scholar for Siddhant Das

World Quantum Day is April 14th, and as such I’d like to post this idea.

Dark energy and dark matter – the entire dark sector – is composed of ‘quantum mechanics’.

Bush, MIT image open access, of guiding waves.

This is pretty far out, but it is World Quantum Day!

Further details/assumptions.

  • QM is de Broglie / Bohm mechanics or some similar phenomena
  • This requires a guiding potential, and every other potential we have found needs a field.
  • This field sticks around matter (EG dark matter),
  • Some leaks out, becomes free, which is dark energy.

Expanded…

QM is de Broglie/Bohm

A popular enough opinion, but in this case perhaps we would need the wave function to live in 3D space, instead of that pesky Hilbert one. The wave function in proper de-Broglie Bohm has no mass, obvisously, so this is really a de-Broglie Bohm LIKE theory.

Guiding field

The Quantum Potential doesn’t feel field like a normal field – it’s more of a steering thing, but if you look at Couder/Bush experiments and theory, it’s possible for this guiding wave function field to be a real valued, normal excitation, which instead of guiding particles with its strength, guides them with its form.

Wave functions hang around matter

Duh – that’s the point of QM! When you think about it though, this sort of idea would require the wave functions to have a mass of up to 100 (average is about 6) times the mass of the matter they control. Furthermore, this QM wave function field would have more mass the more rarefied the baryons are. Think of a QM system (single atom) needing more energy to probe larger spaces around it to ensure QM behaviour still happens. Of course, at some point, matter will become too rarefied to support QM, at which point QM might break down. Since DM density is typically GeV/cm3 and DM seems to hang on until baryon densities are lower than that, in ordinary laboratory matter, (ie a 1cm lump of steel), ‘DM’ Quantum waves might only have a mass of a few hundred GeV, undetected in terrestrial experiments. But rarefy that lump to say 1GeV/cm^3 and the QMDM will start to out mass the matter. Where does the QMDM energy come from? It comes from the QM waves (’empty Bohm waves if you will) around us. This QMDM is extremely reactive to matter – it’s dragged along (hence Renzo’s rule from MOND) and thus forms dark matter.

Dark Energy

But think of what happens at the edge of a galaxy. The matter there gets rarefied to the point of not being able to keep the QMDM energy around, and some of it slowly leaks out, providing for dark energy to emerge as a significant energy in the as the Universe ages past a few billion years old.

Rather crazy?

Pointing out that looking for particles as the source of the dark sector is kinda limiting. I also do personally back de-Broglie Bohm theory for QM, and an energy content to quantum mechanics. Considering QM as requiring energy to function is IMO not all that big of a stretch.

It’s my quantum gravity theory. So simple even an experimentalist can understand it. See more here: Bohmian trajectory quantum gravity, or here, or here

Today I asked AI Dream Studio – http://beta.dreamstudio.ai/ about it, here is it’s interpretation. Pretty nice. I actually think it captures some elements of the theory.

While the physics media, popular opinion and generally accepted lecturers says things like ‘GR is wrong because singularities’, the physical and theoretical facts suggest very strongly the opposite.

Continue Reading...

This is obviously straight from the hip, although I have been thinking about it for a while. ΛCDM (Lambda cold dark matter) or Lambda-CDM has a lot of problems, but MOND does too. See for example Hossenfelders latest video

So my admittedly personal view is that matter cannot exist on its own. One hydrogen molecule will start to sleep if it’s not near other atoms. How near? The thought is that dark matter densities can tell us.

Abstract

Matter cannot exist on its own, isolated. It needs a certain density of quantum waves or energy to bathe in. Otherwise the entire mechanism of both electromagnetism, quantum mechanics (and maybe nuclear forces) simply dies, the interactive particles (quarks and electrons) that form matter relax into sleeping versions of themselves, likely with virtually all of the mass intact. When in the presence of normal matter or the density of sleeping matter goes up to maybe something like an extremely diffuse gas cloud, the matter wakes up, and starts to take part in electromagnetic interactions. Indeed, the nuclear forces of this sleepy matter do not have to sleep, as we can’t see sleeping nucleons. Perhaps just the EM interaction drops off. This article explores some predictions and consequences of the Sleepy Matter Model.

Hypothesis:

Dark matter is sleepy matter, and dark energy is the ‘quantum energy’ – the dark energy is released when matter ‘goes to sleep’.

Dark matter is just plain matter, but it has ‘spun down’ due to being lonely. This effect happens at about the maximum density of dark matter ever found, or about the density of the most diffuse clouds of gas ever found (which are about equal).

Galaxy Curves – ‘only’ the core is a problem for Dark Matter

Dark Matter Problems

There are a number of problems with the ΛCDM model (Lambda cold dark matter).

I will refer to as normal dark matter as Dark Matter.

Wikipedia is a good place to start for most of these problems. One can see the Bullet cluster below, which is both a problem and a victory for Dark Matter. That’s where we sit.

Dark Matter ProblemProblemSleepy Matter solution
Satellite galaxiesModels of DM predict lots of Satellite galaxies. More are being found, but they tend to be equatorial to the galaxy, which is another problem.Sleepy matter interacts with density rise on galactic plane and gets stuck there as the core of a satellite galaxy. Should be able to model this.
Baryonic Tully Fisher relationThe mass of a galaxy is correlated to the fourth power of the rotation velocity of the outermost stars. Why would Dark Matter, which ignores regular matter obey this rule?Sleepy matter wakes up when the density gets high, turning into normal matter. This normal matter interacts, limiting density, etc. There is only so much sleepy matter to fit in.

Should be able to model this.
Renzo’s rule“For any feature in the luminosity profile there is a corresponding feature in the rotation curve and vice versa.”This is simple with sleepy matter. Stars are born when sleepy matter wakes up, condenses.
Bullet ClusterGalactic velocities are too high.The braking friction power of dark matter is lost as the sleeping matter can’t get near luminous matter to put the brakes on.
Core-CuspNo dark matter found (via gravitational searches) in the cores of galaxies. The sleepy matter comes in, get woken up, interacts, and thus does not sink into the centre.
Why Dark MatterNo reason for it, its just another set of parameters. Sleepy matter is an experimental prediction of both matter and fields arising from the Einstein’s ether, and thus is predicted.
Dark matter problems

Dark matter victories

Any new solution to the dark matter problem would hopefully not touch the success of the dark matter paradigm

Dark Matter VictoryExplanationSleepy matter comment
Galaxy ClustersThe virial theorem says galactic clusters have dark matter holding them together. Lots of it. Not a problem, since this intergalactic sleepy matter behaves just like dark matter.
Einstein rings, gravitational lensingThe pretty pictures of Einstein rings, carefully measured, show much more mass around a galaxy than is in it that we can see.Not a problem, as the sleepy matter is at low densities when the entire halo is taken into account.
Early universe 2nd peak and all that. The explanations of the CMB multipole work well with Dark Matter. One might think that at early universe times, all the matter was awake, which would not be good for the model, but on the other hand, BBN troubles in the early U combined with a much different interaction scheme for matter and dark energy would change things.

A 20 parameter LCDM cosmological model with 1000 PhDs and tens of thousands of papers will fit anything.
Bullet ClusterThe dark matter from two colliding galaxies sailed right through each other. The gravitational field shows 1) lots of dark matter and 2) It did not interact like the regular stuff to the collision. Sleeping matter can run right through each other, as long as the critical density is missed. So one gets both the correct density profile and lots of star formation, etc.
Dark Matter success stories

Sleepy matter predictions

Here are some predictions for sleepy matter. Some of the tests can be done today with ‘only’ a literature search and some graphing tools. Others require labs that likely can’t be built on earth or in the near future.

PredictionDetailsTest
Sleepy matter can’t be detected in current experiments.The sleeping matter is ~all woken up by the time it gets to a lab on earth.More negative results looking for WIMPs, Axions, etc etc. So far 30 years of bright people have looked for dark matter, mostly by going deep into the earth.
Sleepy matter might be detectable in a new kind of experiment.Perhaps we can simply watch matter fall apart.Maybe a (deep space?) lab with a large, cold dark room can make a rarefied gas sleep. Could be detected by lighting up a gas at some emission line as it’s pumped down in pressure. Maybe the matter will start to sleep as the pressure drops. Make a graph of pressure as measured by some direct method, and pressure measured by the emission of the atoms in the gas on excitation pulses at one per hour.
Clouds of dark matter have a maximum density.Maybe ordinary matter gas clouds have a minimum observed density already?Extensive literature search for gas densities measured around our galaxy, combines with literature search for dark matter densities. Do the distributions overlap? I am thinking they don’t overlap, to within the statistics of astronomy.
Sleepy matter on waking up might have some emissionPerhaps on waking up/sleeping the spinup produces some sort of weak photon emission, maybe in infrared or radio, or even higher frequencies. Unexplained sky maps showing emission of photons in at places where the dark matter density is high.
Sleepy matter going to sleep raises the dark energy level.Planck – Supernovae Hubble tension.

The effect may be subtle, but overall it would seem that more matter is becoming sleepy than the other way around. This releases energy into space. The energy was bottled up as some part of matter, then it gets released. Perhaps most of the dark energy came from matter going to sleep, in which case we would need a huge mass/energy drop of like 90% for sleepy matter. But maybe the sleepy matter energy exchange is only a small part of the dark energy story.
Sleepy matter predictions

Sleepy Matter thoughts

Is Sleepy Matter worthwhile? I like it, but it will take some more effort to put it into the ‘this contributes’ category. I have looked for papers on the density of DM vs the density of gas clouds, but I don’t think there are any. The gas cloud people and dark matter density people run in different circles.

I am going to try and dig up the references/papers I can find on dark matter and gas cloud density measurements.

Dark matter density tops out at about 10 GeV/cm^3 in the Milky way according to Figure 1 in

Determination of the local dark matter density in our Galaxy

M. Weber and W. de Boer

From the paper – density is about 10GeV per cubic cm.

Is dark matter any more dense anywhere else?

The dark matter density of the Universe

Also see this:

Unfolding the Laws of Star Formation: The Density Distribution of Molecular Clouds

  1. Jouni Kainulainen1,*
  2. Christoph Federrath2
  3. Thomas Henning1

Note this image:

Gas densities below 200 GeV/cc (ie 100 H2 atoms per cc) are not observed.

Wikipedia

Note that I just of something: Say some sleepy matter condenses out, then gets moved away condensed into new stars, etc. There would be gas clouds lighter than the dark matter limit.

https://en.wikipedia.org/wiki/Interstellar_medium – the Warm neutral gas is only 0.5 GeV/cc, ditto for ionized. Look at the temperatures of that rarefied stuff – 8000K !

I presented at the APS 2021 2021

The recent experimental proposals by Bose et al. and Marletto et al. (BMV) outline a way to test for the quantum nature of gravity by measuring the gravitationally induced differential phase accumulation over the superposed paths of two 10^-14kg masses. 

This work predicts the outcome of the BMV experiment in Bohmian trajectory gravity – where classical gravity is assumed to couple to the particle configuration in each Bohmian path, as opposed to semi-classical gravity where gravity couples to the expectation value of the wave function, or of quantized gravity, where the gravitational field is itself in a quantum superposition. 

In the case of the BMV experiment, Bohmian trajectory gravity predicts that there will be quantum entanglement. This is surprising as the gravitational field is treated classically.

Faster than light – but not with spaceships, particles, or transverse wave signals may be possible if spacetime is similar to a slightly viscous fluid. Pressure waves in general relativity may move faster than light.

There have been a few papers written over the years modelling Einstein’s ether as an elastic solid. I have been reading these papers:

https://doi.org/10.1007/s12043-020-01954-5

http://arxiv.org/abs/1603.07655

http://arxiv.org/abs/1806.01133

So – lots of stuff about the ether as a solid.

A few problems with this approach – you can see one paper coming up with Young’s modulus varying with frequency (McDonald), and others struggling with how to even support transverse waves in this elastic medium. A key measure of a substance is its Poisson’s ratio – which is an elasticity measure. The semi consensus is that this ratio is 1 for the ether, which is not like any normal material (but OK spacetime is not a normal material!).

One thing about materials is that they in general support two kinds of waves ‘P-waves’ (pressure waves) and ‘S-waves’ (shear waves). Choosing Poisson’s ratio as 1 leads to P-waves having a speed of 0! Which is ‘required’ as everyone knows that p-waves can’t exist in general relativity. I agree that p-waves can’t be made in GR using normal matter moving around, but see this paper http://arxiv.org/abs/astro-ph/0309448 to get an idea of how one might generate monopole wave action.

There seems to be a lot of hand waving going on in these papers about thin plates, absolute length scales (Planck length chosen), and more just to get things to work out.

Since I’m an optimist at heart, I decided to look at this from another direction. What if Einstein’s ether was more like a fluid? Fluids have Poisson’s ratio of about 1/2, and only support shear waves if there is viscosity to the fluid. So lets let our fluid have a Poission’s ratio of just shy of 0.5, say one part in 10^14 away from 0.5, and a see what happens.

Here is what happens: Faster than light effects – the fluid of spacetime is extremely incompressible, and has a very small Young’s modulus.

I’ll quote a section of the Tenev-Horstemeyer paper here:

Run the calculations for µ and M, we get µ = Y/3 and M = 10^14 times Y, so the pressure waves in this fluid ether would travel at 10^7 (square root) times faster than c. (There is no experiment or theory describing the viscosity of Einsteins ether at this point, the 10^14 delta is for illustration only).

This huge pressure wave speed would not be seen in experiments as the paragraph points out – all known waves that propagate in real space are transverse. I think that the paper makes the mistake of assuming that because all we have measured are transverse waves, that those are the only kind that exist! Pressure waves in general relativity would be hard to generate it would seem, since one would have to pulsate spacetime.

So how would we generate these monopole waves? If we simply shoot matter on and off a planet, we will generate ‘dragged along’ monopole waves, which would travel at light speed (or less) with the matter.

One way to make superluminal p-waves is of course with the physicists favourite friend, the magic wand. Magic wands have been used in theoretical physics to create extra dimensions, multi-universes, etc. Here I only invoke it to make matter disappear, in a periodic pattern. For a concrete example, assume fundamental particles are varying in mass (imagine some worm hole mechanism) at their Compton frequency. Then we would have these pressure waves at fantastic velocity around them, exchanging information with their surroundings, in a de -Broglie or Madelung way. This would help quantum mechanics emerge from spacetime, something I have been searching for over several decades.

Is a slight visous fluid like water a better model than a solid for the metrical ether?

I don’t think that this is a possible idea simply because I wish there to be a way to communicate at velocities above c, or that it helps with a realistic model for quantum mechanics, I also think its a simpler way to look at Einstein’s ether than with the ‘closely packed’ layers of manifolds that the solid models quoted above mostly assume.

It seems that this bulk modulus pressure wave velocity being orders of magnitude faster than c might mean that there is a preferred frame for p-wave speed in the Universe. Lorentez transformations and the constancy of the speed of light measurements would presumably stay the same as they are now, as this fluid would simply be a way to generate the Einstein field equations.

Could a bulk modulus and Poisson’s ratio allowing for super-luminal p-waves replace inflation? One of the big reasons for inflation is that the universe is too smooth – given the paltry speed of light, places far from each other should have different temperatures, etc. https://www.newscientist.com/term/cosmic-inflation/

There are many people who think inflation is a silly crutch.

Here is a new story in Scientific American about ‘strange results’ from Nanograv. Could these be signs of longitudinal gravitational waves? The arXiv papers referenced point out that the observed signal has no quadropole signature, which is part of the ‘weird’ results. https://www.scientificamerican.com/article/galaxy-size-gravitational-wave-detector-hints-at-exotic-physics/

https://arxiv.org/abs/2009.04496

Does Pizzella’s experiment violate causality?

https://iopscience.iop.org/article/10.1088/1742-6596/845/1/012016

The idea about electromagnetic interactions being
composed of both instantaneous (bound) and retarded (radiation) parts is not new. It was
repeatedly expressed theoretically [3, 4, 5], and electromagnetic superluminal effects were seen
in experiments as well [6, 7, 8].

Measuring Propagation Speed of Coulomb Fieldshttp://arxiv.org/abs/1211.2913 ,

Arend Lammertink https://www.researchgate.net/post/Did-I-actually-measure-a-superluminous-signal-thus-disproving-the-relativity-theory

Every old style, Newtonian theory in modern physics – which is all of them except General Relativity, do not fit well with GR itself. This is curious, as for instance the Dirac equation, the Standard Model, QM, QFT all work well with each other (hence the Standard Model). In an attempt to unify everything else with GR, the well worn (almost proven impossible by now one would think) trail is to quantize GR on some perturbed Minkowski space.

It doesn’t work. Or rather has not worked.

Since it’s virtually impossible to prove that something can’t be done in physics (see von Neuman’s ‘no hidden variables proof’ as an example), we are left with hundreds of PhDs per year being granted trying to add another brick to a wall that is sinking in mud, hoping that the mud is only so deep, so that another few thousand postdocs life efforts piled up will hit the rock bottom.

It won’t. It’s pure folly.

An alternative is what I present on this site, namely that one can and indeed must build on General Relativity – that in a very real sense all future successful theories will be phenomena inside the Riemannian manifold controlled by the Einstein Equations that we live in.

Examples provided on this site show how one can make electric fields, quantum waves and particles from nothing more than GR. Of course, it’s a minority viewpoint, one I’m willing to stand on.

In this essay I argue for the case of simply trying, in the sense of a toy model, to build parts of the universe out of nothing more than 4D, standard Einstein General Relativity. Its already the norm for a postdoc to spend a decade looking at some 2D toy model of a field that is known not to be able to work, just because it’s easier to do some calculations.

But apparently doing the same thing with a model (4D GR) that we know works extremely well is, well wrong, boring and silly.

I don’t think so.

Physics needs new trial balloons. To the fundamental physics establishment – you can’t actually pop a balloon unless you at least get it in front of you.

22nd International Conference on General Relativity and Gravitation

I am attending GR22 in Valencia Spain, to present a poster and also take part in the talks. I will be presenting a poster based on this paper (soon to be published) from a talk I gave at DICE2018.

What the paper and poster argue is that in the BMV experiment, observing entanglement is not enough to show that gravity is quantum. I do this by showing that a classical gravitational field coupled to the Bohmian trajectories of the individual particles will show entanglement.

Download the paper here

The conference looks like its going to be interesting to attend.

The image at the top shows 4 runs of the BMV experiment, with all 4 Bohmian particle trajectory combinations shown. There is entanglement generated 1/4 of the time, when the experiment happens to look like the 2nd diagram from the left.

The poster is 90 x 200cm, available in real 3D, if you visit Valencia From July 7-12 2019 :-)

Download the poster here.

The BMV experiment sets out to show that gravity is quantized. If gravity is quantized, we expect to be able to form a gravitational field into a superposition, so that fundamentally the gravitational field is not certain at one spacetime point. Trying to come up with a theory of gravity that can be in a quantum superposition, while still working for all present tests of Einstein’s General Relativity has proved impossible so far, despite thousands of very smart people working over 50 years on the problem.

Perhaps gravity cannot be quantized. With Bohmian trajectory gravity, gravity is not quantized and has a well-defined connection to the sub-atomic particles.

If gravity is not quantized, all sorts of assumptions about quantum mechanics suddenly fail, as an unquantized gravity allows one to cheat behind the back of quantum mechanics. This is a large part of the reason why many people think gravity must be quantized. I’m not in the gravity must be quantized group, mostly because I think it just won’t work.

as revealed by J.S. Bell and experimental results.

Consider the following facts.

  1. The experimental record shows that the Lorentz transformations and special and general relativity all work remarkably well, from galaxies and indeed the structure of the Universe on down to scales probed by CERN. 
  2. Locality is demonstrated in virtually all experiments conducted to date. This holds across fields such as fluid dynamics, radiation fields, etc. We have local causality.
  3. Quantum experiments such as those done by Aspect and later show that not everything is local – we have non-local effects. The wavefunction collapse is instant, etc. This worried Einstein.

Given the above facts, the simplest spacetime I can come up with looks roughly like this:

Spacetime is the usual 4D smooth(ish) playground, with the addition of some sort of ER Bridge connecting places. These bridges seem to transfer only what’s needed for the nonlocality of quantum mechanics. “holds most physics” refers to the overwhelming larger apparently simply connected spacetime in which we live. The tiny ER bridges are perhaps some relic, and are likely needed for particle structure as well. 

So this spacetime, which is not new, ( Wheeler had similar ideas), seems to cover our knowledge about the logical structure of quantum mechanics and general relativity. Until someone comes up with something better, this is what I use. 

Causality vs locality vs non-signalling

  • Spacetime is locally casual. Einsteins equations show us how things need to touch (with light or gravity waves, etc) in order to interact. 
  • Locality is therefore local in nature only. 
  • non-signalling holds today, but there seems to be no reason for it. We have a connection, we just need to figure out how to use it. 
  • Spacetime is multiply connected, which means it is not globally localized. Events can interact outside of their past light cones. 

Conclusion

This is how our universe operates: we feel everything locally causal. But experiment shows some non-local (in the global sense) connections. 


I think that the biggest news in a while in quantum mechanics is newly forming ability of experimenters to do quantum experiments with gravity. A fine example of an experiment already done is Phase Shift in an Atom Interferometer due to Spacetime Curvature across its Wave Function by Asenbaum et al. They conclude:

Therefore, the phase shift of this interferometer is not determined by the local acceleration along a single populated trajectory, demonstrating that the atomic wavefunction is a nonlocal probe of the spacetime manifold [34].

Thus they have experimentally shown that wave functions feel gravity pretty much where they ‘are’ in real space ( try not to think of configuration space at this point! ). No one really doubted this would happen. Still, it leads one to wonder what about the other side – the backreaction – to this. Do the atoms in the Asenbaum experiment source gravity in the same way they detect it? It would seem obvious that they should, but no one has done an experiment to verify this (see later in this article).

A proposal in the opposite spirit to the above results is given by Kafri, Taylor, and Milburn (KTM) in  A classical channel model for gravitational decoherence. KTM posits a way for the gravity to be sourced as follows:

That is, the gravitational centre of mass coordinate,xi, of each particle is continuously measured and a classical stochastic measurement record, Jk(t), carrying this information acts reciprocally as a classical control force on the other mass.

In other words in the KTM model, the source and detection channels for a particle are both as in semi-classical gravity. The expectation value of the particle’s is the mass location for both source and detection.

You can sense that the Asenbaum experiment shows KTM does not work – the experiment shows that atom, which is in a dual humped wave function with a separation of centimeters cannot be seeing only the average field – the wave function senses the curvature.  The paper by Altamirano, Corona-Ugalde,  Mann,  and Zych Gravity is not a Pairwise Local Classical Channel , confirm these feelings about KTM – like theories. They don’t work.

Here we show that single-atom interference experiments achieving large spatial superpositions can rule out a framework where the Newtonian gravitational inter-action is fundamentally classical in the information-theoretic sense: it cannot convey entanglement. Specifically, in this framework gravity acts pairwise between massive particles as classical channels, which effectively induce approximately Newtonian forces between the masses.

So gravity is not truly semi-classical. No surprise to me, or to the quantum gravity workers (LQG, String Theory, etc). What many/most quantum gravity people like to think, however, is that KTM or similar (Diosi – Penrose), Rosenfeld like semi-classical gravity basically exhaust the spectrum of classical gravity theories.

The BMV Experimental Proposals

The papers describing the BMV experiments by Bose et al.Marletto and Vedral, and Christodoulou and Rovelli.

These proposed experiments are in some ways similar to the Asenbaum experiment described above, but instead of atoms, small particles like micro diamonds are prepared in position-dependent superpositions, and instead of a huge mass of lead, two diamonds are dropped near each other, so they can feel the gravitational effect of the other also in a position superposition diamond. The promise of these experiments is tremendous – if successful they might show that gravity is quantized: Christodoulou and Rovell state

...detecting the [BMV] effect counts as evidence that the gravitational field can be in a superposition of two macroscopically distinct classical fields and since the gravitational field is the geometry of spacetime (measured by rods and clocks), the BMV effect counts as evidence that quantum superposition of different spacetime geometries is possible, can be achieved..

A problem I see in these BMV papers is that they all use the predictions of semi-classical theories (not KTM but semiclassical as a source only) as a classical test case, without much thought to the predictions of other ‘classical’ theories of gravity. The possibilities are many and the experimental consequences are not simple.

Bohmian Trajectories and General Relativity

There have been some papers over the years touting the usefulness of the Bohmian trajectory viewpoint as a better approximation to classical field – quantum system interaction. Usually, the case for using Bohmian trajectories is one of computational or conceptual efficiency, but as Ward Struve in Semi-classical approximations based on Bohmian mechanics puts it:

Finally, although we regard the Bohmian semi-classical approximation for quantum gravity as an approximation to some deeper quantum theory for gravity, one could also entertain the possibility that it is a fundamental theory on its own. At least, there is presumably as yet no experimental evidence against it.

The BMV experiment with Bohmian trajectories

The interpretation of the BMV experiment if one assumes Bohmian trajectories are ‘real’ results in the following conclusions:

  • Each run of the experiment has particles in any one of 4 configurations, – the trajectories.
  • There is no superposition of gravitational fields – each run has a different gravitational field configuration.
  • The resulting experimental statistics show entanglement – even though gravity is classical throughout.

The last point is the most surprising. We look at why an experimenter will see entanglement with Bohmian trajectories.

At the heart of the argument is the fact that while these Bohmian trajectories look very classical, they are actually quantum – more clearly subquantum aspects of (Bohm/de Broglie) quantum theory. So we have a situation where we can get behaviour very similar – ( i.e. showing entanglement ) to quantum gravity for the BMV experiment by using classical gravity coupled to Bohmian trajectories, where there is a superposition of gravitational fields – but only in the boring classical histories of the experiment viewpoint. Since the experimenter has only histories to look at, showing that the gravitational field was in a superposition requires more than merely observing some level of entanglement in the BMV experiment.

 

 

This is a paper version of the poster I presented at EmQM17 in London.

Abstract:

Some physicists surmise that gravity lies outside of quantum mechanics. Thus theories like the standard semiclassical theory of quantum to gravity coupling (that of Rosenfeld and Møller) are possible real models of interaction, rather than a mere approximation of a theory of quantum gravity. Unfortunately, semiclassical gravity creates inconsistencies such as superluminal communication. Alternatives by authors such as Diósi, Martin, Penrose, and Wang often use the term ’stochastic’ to set themselves apart from the standard semiclassical theory. These theories couple to fluctuations caused by for instance continuous spontaneous localization, hence the term ’stochastic’. This paper looks at stochastic gravity in the framework of a class of emergent or ontological quantum theories, such as those by Bohm, Cetto, and de Broglie. It is found that much or all of the trouble in connecting gravity with a microscopic system falls away, as Einstein’s general relativity is free to react directly with the microscopic beables. The resulting continuous gravitational wave radiation by atomic and nuclear systems does not, in contrast to Einstein’s speculation, cause catastrophic problems. The small amount of energy exchanged by gravitational waves may have measurable experimental consequences. A very recent experiment by Vinante et al. performed on a small cantilever at mK temperatures shows a surprising non-thermal noise component, the magnitude of which is consistent with the stochastic gravity coupling explored here.

Stochastic Gravity and Ontological Quantum Mechanics

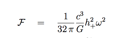
I have made a simple calculator to calculate the flux in watts per square metre of gravitational waves given a frequency and a strain. The idea is to show how easy it would be to hide cosmologically important amounts of energy in high frequency gravitationalScreen Shot 2018-03-11 at 2.07.37 PM waves.

If we take values of a strain of 15 orders of magnitude lower than LIGOs sensitivity, and a frequency of the Compton frequency, we get levels of energy flux and density that are very surprising. No one talks about this, though, since HFGWs are ‘known’ not to exist. I posit that we should not assume anything about gravitational waves at this point. Its an obvious place for experimentalists to work in. Are there any experiments that can detect gravitational radiation at millions of watts per square meter and nuclear frequencies? This is something that experiments should decide.

 

The_Gravitational_wave_spectrum_Sources_and_Detectors

The accepted spectrum of gravitational waves does not include the possibility of high-frequency waves.

 

Just think about it – there is no way we can tell – there may be billions of watts of gravitational wave energy passing through your body right now. They may be there, waiting for us to find them.

The comments on dark energy and dark matter in the calculator are to be interpreted as follows:

How can ‘dark matter’ be gravitational wave energy?

Dark Matter is measured as an excess of mass/energy – as it’s presence is determined by gravitational effects on regular matter. In fact- experimentally, dark matter is too tied to matter – one can predict the amount of dark matter in a galaxy or galaxy cluster, etc by simply writing down the total mass distribution of baryons! What we know of dark matter is that it’s weakly coupled to matter and that it’s much denser than the level of dark energy that is spread throughout the universe.

A possible scenario:

Dark Matter is gravitational waves associated with matter. Call it DarkGW. It looks like the presence of matter controls the amount of dark matter present and DarkGW interacts very weakly with matter (perhaps not in a linear fashion?), perhaps even violatiing the rules of quantum mechanics – after all there is no quantum theory of gravity yet.

In this scenario, dark energy is the ‘leaking’ of this DarkGW into intergalactic space. Thus there is a source for DE and it does not have to have a transcendental source. Its ‘just’ regular radiation – radiation that does not redshift as the Universe ages, as the redshifted bits are replaced on a continual basis by the DarkGW.

This tells us why the amount of DarkGW is related to the amount of Dark Energy (why are they within a factor of two of each other?). As the DarkGW has leaked out, the Universe has expanded. Once the galaxies start to get cold and far apart (say in 200billion years) – the dark energy would start to redshift, and the Universe would approach a ‘balance point’ universe instead of a runaway expansion as in modern LCDM.

 

Something is definitely wrong with dark energy:

Riess says that it could be caused by hypothetical “sterile neutrinos”, interactions with dark matter, or a strengthening over time of dark energy (which accelerates the universe’s expansion).

Sterile Neutrinos are a last ditch effort to keep dark energy as a parameter (Lambda) in Einstein’s equations. Its clear to me that the best answer is that dark energy is getting stronger over time. Dark Energy is on the right side of the Einstein equations, not the left. Lambda was a mistake. Its zero.

Hubble Space Telescope confirms mismatch in cosmic expansion

New Parallaxes of Galactic Cepheids from Spatially Scanning the Hubble Space Telescope: Implications for the Hubble Constant

 

The problem with dark matter in galaxies is that it’s just too organized. Dark matter seems to correlate too well with matter distributions.

What about a field associated with every nucleon that saturates at some level, called S here. (its saturated near dense matter like here on Earth or in the Milky Way plane, while when protons/neutrons get below a certain density, the field then eventually drops as the density of matter drops.

This solves the cuspy galaxy core problem, it also makes the BTFR (Baryonic Tully Fisher Relation) work, it also seems it would work on the bullet cluster, galactic clusters, etc.

BTFR – explained

The  Baryonic Tully Fisher Relation is one of the most accurate relations in cosmology. It’s a huge thorn in the side of LCDM cosmology, since dark matter and regular matter are not supposed to be in lockstep with one another. See Stacy McGaugh

THE SMALL SCATTER OF THE BARYONIC TULLY–FISHER RELATION

With the S field presented here, there is a saturable field associated with every nucleon. When nucleons are about a mm apart or less on average, the field is at some standard strength, then as the density lowers more, the S field maintains its density (or slowly loses density) until at some limiting low matter density this saturable field starts to drop. By the point this happens there is ~100x more energy in the saturable field than the baryonic density.

This effect can explain the BTFR as dark matter is present in quantities as a function of baryonic mass in some fashion.

Bullet Cluster

The bullet cluster poses a problem for MOND like theories – there seems to be excess dark matter causing lensing. So dark matter really exists, it seems. The field solves this nicely. No one thinks that the lensing areas of the Bullet cluster are completely free of matter, it’s just that the dark matter is not located where the bulk of the matter is.

 

The contours show the density (line of sight) of dark matter, while the X-Ray image in orange – purple shows the colliding dense regular matter.

Galactic Clusters

Clusters of galaxies would not hold together without about 5 times the mass of the individual galaxies available between the galaxies to hold the galaxies together. See Galaxy clusters prove dark matter’s existence as an intro by  Ethan Siegel .

The mechanism is clear – the intergalactic dust and gas provide the framework to energize a large S field which keeps the cluster gravitationally bound.

Properties of the S field

The S field is associated with matter and has a limiting high density. At low densities (ie halo galactic densities) the field has a mass of up to about 10 (or 100?) times the mass of a nucleon, per nucleon.

Where does the energy come from? It’s dark energy – just clumped. So S is dark energy. There is always a flow of it running around, and its pulled from dark energy as needed to saturate around matter.

What is the form of the field?

What is the minimum energy density in say GeV/m3  ? Dark Energy has an energy density of about 0.5 GeV/m3 .

The max is determined by the maximum density measured for dark matter which is about 0.5 GeV/cm3 (note the centimeter scale used by astronomers when dealing with matter clouds) see my earlier related post  Is Dark Matter merely Inactive Matter?  so about 1003 or a million times the density of dark energy.

Thus the S field saturates at a density of ~ 5e5 GeV/m3 and is present all around us.

The S field density is then some function of the matter density. It turns out that it’s a cumulative effect from all matter enclosed inside ‘R’.

Consequently, the dark matter contribution is fully specified by that of the baryons. The observed scatter is small and largely dominated by observational uncertainties. This radial acceleration relation is tantamount to a natural law for rotating galaxy.

From http://stacks.iop.org/0004-637X/836/i=2/a=152?key=crossref.21cde6b778a1e42d6160598a6ba24e03

Start at Equation 22:

Then use g_{bar} =\frac{GM_{bar}}{R^2} and simplify to

M_{DM} = \frac{M_{bar}}{e^{\sqrt{\frac{GM_{bar}}{R^2 g_{\dagger}}}} \ - 1}

Thus the quantity of DM inside a certain radius is wholly dependent on the amount of baryonic matter inside that radius. The S field is a cumulative effect of density of regular baryons.

When I use this on density I get

\rho_{DM} (< R) = \frac{\rho_{bar}}{e^{\sqrt{\frac{4/3 \pi GR\rho_{bar} }{g_{\dagger}}}} \ - 1}

This equation states that the density of dark matter depends only on the enclosed average density of baryonic matter.

Calculating the acceleration at R , given a 35kPc distance R, and a density of baryons of 1GeV per cm3 gives 4/3 \pi GR\rho_{bar}  = 1.2×10-10 m/s2 – ie g_{\dagger} which is the Milgrom acceleration. So that’s the cut where dark matter starts to be apparent, as the denominator starts to take off.

Of course, this density equation has limits on both ends. The dark matter S field has a maximum density of about a GeV per cm3 and once the density goes down to about dark energy levels one no longer calls it dark matter. Don’t forget my density version of the equation requires the average density inside R for the galaxy/gas cloud/cluster.

In my mind this S field is HFGW, but it’s not important what is the nature of the field, vs the mass of the field.

It seems to me that battling it out as MOND vs LCDM is perhaps not the best way to approach the problem as there are obviously more models around that might work. One just has to throw out some part of standard model physics!

Looking at the above more, I’m not convinced that sticking exactly to the MOND formula for mass and density is the way to go with this S field idea. I’m hoping there is a function where the density of DM is only given by the local density of matter, but perhaps that will not work. Perhaps there is something happening where DM depends on the total SUM of all all the matter interior to the radius R.

The Tully-Fisher relation (aka Baryonic TFR) is remarkable. As the diagram below shows, the relationship between Vand the baryonic mass of galaxies is just too finely tuned to be caused by dark matter. Something is up. Vis the stellar orbit velocity in the galactic halo. For more details see the paper by Lelli, McGaugh and Schombert .

Screen Shot 2018-02-24 at 5.34.29 PM

MOND (MOdified Newtonian Dynamics) is one explanation for the Tully-Fisher relation. It posits that the force towards the centre of a galaxy at large distances is not simply that of Newton, but is modified with the a0 of  1.2×10-10m/s2 in all galaxies in addition to the usual force predicted by standard Newton or General Relativity’s gravity. LCDM Dark matter is a clumsy explanation for the BTFR, as it needs fine tuning for every galaxy (or every galaxy type) in order to make that straight line be so, well, straight.

There is another way to generate an inward acceleration.

We need a force on each nucleon that changes with how much matter is inside the radius where the particle is. It somehow ‘knows’ the gravitational potential at R, and has a force that depends on that!

What I have so far on this is something to do with dark energy being more concentrated in galaxy cores, so the particle feels this dark energy slope and responds to it.

NOTE: This needs to include a dependence on the enclosed M (ie enclosed Dark Energy inside R).  I call this emission based acceleration ‘Anomalous radial nucleonic radiation’  (ARNR). MOND tells us that particles in the galactic halo can ‘weigh’ the galaxy. They have that information. So there must/might be something like dark energy concentrated in the galaxy and the particles react to this, pushing radiation outward and reacting inward. Note in the galactic core the divergence of the DE is 0 – so no extra force on the particle in the middle of the galaxy.

It might seem strange to have this concerted outward radiation pattern though! Here are some possible explanations for an outward constant radiation by the halo constituents.

    • I’m a fan of super high (nuclear and above) frequency gravitational wave (HFGW) emission/absorption in atoms and nuclei. So we might have some sort of stimulated emission from nucleons based on the outward flow of HFGW out of a galaxy.
    • Dark Energy has a value of about 1GeV/m3 . If this energy is concentrated by the galactic core, then maybe some the nucleon has a force toward the centre of the galaxy in response to the divergence of the DE field.  (i.e. lower radiation resistance in the outward direction). This Dark Energy may be some new field, (or HFGW).
    • Some other mechanism. We don’t have to know the mechanism to predict some consequences.

People don’t generally like the MOND theories because general relativity (GR) in its usual form is so well tested and accurate. LCDM is disliked by many because of the fine-tuning required in order to get everything to match observations.  ‘Anomalous radial nucleonic radiation’  (ARNR) allows GR to exist as is.

Consequences of ARNR

If nuclei really do radiate continuously, (perhaps in violation of quantum – mechanics) then there will be experimental consequences. These consequences may be largely hidden from earth-based experiments, as the emission would be isotropic and take place in some field (such as gravitational waves)  that is hard to detect with current instruments.

There may be other places where cosmological or galactic cluster observations might note this energy output.

In other posts, I have wondered if dark matter is ‘sleeping regular matter‘ and I still think that it may be a viable option, but it seems like any explanation in terms of dark matter may need to be fine-tuned to match observations.

Also, see:

http://backreaction.blogspot.ca/2016/10/what-if-dark-matter-is-not-particle.html

https://tritonstation.wordpress.com/2016/09/26/the-third-law-of-galactic-rotation/

https://tritonstation.wordpress.com/category/dark-matter/

at http://iopscience.iop.org/article/10.1088/0004-637X/802/1/18/pdf

 

 

EmQM 2017 Conference

October 11, 2017 — 2 Comments

I’m headed to London for the EmQM 2017 conference Oct 26 – 28 2017, which will I am looking forward to.

I attended in 2015. The event has the byline – the 4th International Symposium about Quantum Mechanics based on a »Deeper Level Theory«. Its mission this year is

Towards Ontology of Quantum Mechanics and the Conscious Agent
David Bohm Centennial Symposium

When I first really understood what quantum mechanics really was – in second-year undergrad at the University of Toronto, I immediately read all sorts of books and papers by and about Bohm’s theories. He made quite a change in my outlook of physics in general. I became convinced in 1985 that quantum mechanics was incomplete and that something along the lines of Bohm’s theory was the way to go. That makes the conference more special for me, and I’m sure many other attendees share the same view.

I am presenting a poster which I’m still polishing that up right now (the abstract at least was well received!). Its based on a paper called ‘Fully Classical Quantum Gravity (see link)‘. I have renamed the poster to Stochastic Gravity and Ontological Quantum Mechanics and rewritten most of it.

The poster describes the results of a paper by Vinante et al. :

Improved noninterferometric test of collapse models using ultracold cantilevers . If the results hold up, they are quite breathtaking as they state:

 

Screen Shot 2017-10-11 at 10.16.52 PM

The finite intercept, clearly visible in the inset of Fig. 3 implies that the data are not compatible with a pure thermal noise behavior, and a nonthermal ex-cess noise is present.

 

The paper details the careful procedures followed to chase down possible experimental problems. The analysis is carefully thought out. The paper claims the results show a possible signature of Adler’s Continuous Spontaneous Localization (CSL), but to me it seems like if the results hold up that its simply a great puzzle to solve! My take (in line with the ‘Fully Classical Quantum Gravity‘ paper) is that this noise is caused by the continuous emission and/or absorption of gravitational waves at nuclear frequencies.

Gravitational waves are notoriously hard to see, and these high-frequency ones (HFGWs) even more so. Indeed, since gravitational wave power goes with the square of frequency, truly tiny values of the gravitational wave strain ‘h’ (h == 0 in flat space and h < 1) make for large energy fluxes. The LIGO observations saw gravitational waves with h \sim 10 ^{-2} . The formula for the flux of a gravitational wave is:

Screen Shot 2017-10-11 at 10.33.32 PM

So LIGO can see gravitational waves with a flux of about 1^{-3} watts/m^2 , while at nuclear frequencies like 10^{15} Hz , the same formula yields an incredible 10^{19} watts/m^2 – another way to look at that flux is that it represents 400+ kg! of mass per square meter per second! I propose that results like this suggest that matter itself can be made of nothing but elaborate patterns of gravitational structures. Clearly, high-frequency gravitational structures can hold an incredible amount of energy.

Another way of thinking about this result is that anytime a better telescope is built, or one is built that looks at a new wavelength, field or pattern of signals, those signals are not only discovered, they produce deep new insights about our universe. The fact that HFGWs are hard to detect does not mean that they are not there! Indeed, instead of calculating what the flux of HFGWs might be around us, we should instead admit our ignorance and calculate what we don’t know. Huge amounts of gravitational wave energy could be whipping by everything right now and we would not know a thing about it.

It’s going to be a quick few days in London!

–Tom

 

So Leonard Susskind publishes a paper on arXiv

Dear Qubitzers, GR=QM

Which of course is what I have been saying all along. Of course Susskind’s paper is actually ‘of course’ not about QM emerging from GR, which is what I believe, and have good reason to follow up on.

Instead Susskind says:

Dear Qubitzers,
 GR=QM? Well why not? Some of us already accept ER=EPR [1], so why not follow it to
 its logical conclusion? It is said that general relativity and quantum mechanics are separate subjects that don’t fit together comfortably. There is a tension, even a contradiction between them—or so one often hears. I take exception to this view. I think that exactly the opposite is true. It may be too strong to say that gravity and quantum mechanics are exactly the same thing, but those of us who are paying attention, may already sense that the two are inseparable, and that neither makes sense without the other.

The ‘paper’ (perhaps letter is a better name), has made the rounds/  Not Even Wrong,

Instead of that happening, it seems that the field is moving ever forward in a post-modern direction I can’t follow. Tonight the arXiv has something new from Susskind about this, where he argues that one should go beyond “ER=EPR”, to “GR=QM”. While the 2013 paper had very few equations, this one has none at all, and is actually written in the form not of a scientific paper, but of a letter to fellow “Qubitzers”. On some sort of spectrum of precision of statements, with Bourbaki near one end, this paper is way at the other end.

While Woit’s nemesis Lubos Motl,

Susskind also says lots of his usual wrong statements resulting from a deep misunderstanding of quantum mechanics – e.g. that "quantum mechanics is the same as a classical simulation of it". A classical system, a simulation or otherwise, can never be equivalent to a quantum mechanical theory. The former really doesn't obey the uncertainty principle, allows objective facts; the latter requires an observer and is a framework to calculate probabilities of statements that are only meaningful relatively to a chosen observer's observations.

Sabine Hossenfelder put it visually on Twitter:

giphy

My take is about the same as these popular bloggers. Don’t really think much of it.

Except the title. QM can, I believe, emerge from Einstein’s General Relativity, in much the same way that Bush and Couder’s bouncing drops can display quantum behaviour.

My research gate page has more.

Its ridiculous that 11 dimensions and sparticles have hundreds of times more study than fundamental emergent phenomena. Emergence is the way to go forward. You don’t need a new force/particle/dimension/brane to make fundamentally new physics from what we already have in electromagnetism and general relativity.

See the search links on the side of this blog for some recent papers in these areas.

Rings coalescing

August 1, 2017 — Leave a comment

As someone pointed out on reddit, it looks like an inelastic collision.

Singularities, de Broglie and emergent quantum mechanics comes to mind for me.

The interaction causes a wave to propagate. After a time equal to the period of a wave on the ring, it separates into two.

Click to access ACES_2013100819104983.pdf