I’m headed to London for the EmQM 2017 conference Oct 26 – 28 2017, which will I am looking forward to.
I attended in 2015. The event has the byline – the 4th International Symposium about Quantum Mechanics based on a »Deeper Level Theory«. Its mission this year is
Towards Ontology of Quantum Mechanics and the Conscious Agent David Bohm Centennial Symposium
When I first really understood what quantum mechanics really was – in second-year undergrad at the University of Toronto, I immediately read all sorts of books and papers by and about Bohm’s theories. He made quite a change in my outlook of physics in general. I became convinced in 1985 that quantum mechanics was incomplete and that something along the lines of Bohm’s theory was the way to go. That makes the conference more special for me, and I’m sure many other attendees share the same view.
I am presenting a poster which I’m still polishing that up right now (the abstract at least was well received!). Its based on a paper called ‘Fully Classical Quantum Gravity (see link)‘. I have renamed the poster to Stochastic Gravity and Ontological Quantum Mechanics and rewritten most of it.
The poster describes the results of a paper by Vinante et al. :
Improved noninterferometric test of collapse models using ultracold cantilevers . If the results hold up, they are quite breathtaking as they state:
The finite intercept, clearly visible in the inset of Fig. 3 implies that the data are not compatible with a pure thermal noise behavior, and a nonthermal ex-cess noise is present.
The paper details the careful procedures followed to chase down possible experimental problems. The analysis is carefully thought out. The paper claims the results show a possible signature of Adler’s Continuous Spontaneous Localization (CSL), but to me it seems like if the results hold up that its simply a great puzzle to solve! My take (in line with the ‘Fully Classical Quantum Gravity‘ paper) is that this noise is caused by the continuous emission and/or absorption of gravitational waves at nuclear frequencies.
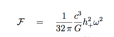
Gravitational waves are notoriously hard to see, and these high-frequency ones (HFGWs) even more so. Indeed, since gravitational wave power goes with the square of frequency, truly tiny values of the gravitational wave strain ‘h’ (h == 0 in flat space and h < 1) make for large energy fluxes. The LIGO observations saw gravitational waves with . The formula for the flux of a gravitational wave is:

So LIGO can see gravitational waves with a flux of about , while at nuclear frequencies like
, the same formula yields an incredible
– another way to look at that flux is that it represents 400+ kg! of mass per square meter per second! I propose that results like this suggest that matter itself can be made of nothing but elaborate patterns of gravitational structures. Clearly, high-frequency gravitational structures can hold an incredible amount of energy.
Another way of thinking about this result is that anytime a better telescope is built, or one is built that looks at a new wavelength, field or pattern of signals, those signals are not only discovered, they produce deep new insights about our universe. The fact that HFGWs are hard to detect does not mean that they are not there! Indeed, instead of calculating what the flux of HFGWs might be around us, we should instead admit our ignorance and calculate what we don’t know. Huge amounts of gravitational wave energy could be whipping by everything right now and we would not know a thing about it.
It’s going to be a quick few days in London!
–Tom


The finite intercept, clearly visible in the inset of Fig. 3 implies that the data are not compatible with a pure thermal noise behavior, and a nonthermal ex-cess noise is present.
Andersen, T. C. on ORCID



